1.1 NVP及其聚合物
PVP是具有優異性能、用途廣泛的一種非離子型水溶性高分子精細化學品,它是由NVP在一定的條件下聚合而成的,是N-乙烯基酰胺類官能團聚合物中最具特色,且被研究得最深入、廣泛的精細化學品。自1938年德國乙炔化學家Reppe首次公開用乙炔為原料合成NVP及其聚合物PVP的專利[1]至今已經有六十多年的研究、生產和應用的歷史,到目前已發展成為非離子、陽離子、陰離子三大類,工業級、醫藥級、食品級三種規格,共十幾個品種,分子量從數千到一百萬以上的均聚物、共聚物和交聯聚合物系列產品,并以其優異獨特的性能廣泛應用于工農業生產和人民生活以及相關的科研部門,并仍以每年發表數百篇的文獻展示其方興未艾的現狀和繼續發展的前景。
1.1.1 NVP的性質
1.物理性質
NVP常溫下是一種無色或者淡黃色、略有氣味的透明液體,易溶于水,其主要的物理性質如下:
密度: 1.04(25℃)
熔點: 13.5℃
沸點: 148℃(13332.24Pa),58~65℃(13.3~26.64Pa)
閃點: 98.33℃
折光率:
NVP具有優良的溶液特性,除易溶于水外,還易溶于許多有機溶劑,如甲醇、乙醇、丙醇、異丙醇、三氯甲烷、甘油、四氫呋喃、乙酸乙烯酯等,還能溶于甲苯等芳香類溶劑。
一般說來,NVP在較強極性的溶劑中有比較好的溶解性,而在非極性溶劑中的溶解性較差,如表1.1所示。
表1.1 NVP在各種溶劑中的溶解性
溶劑 | 水 | 乙醇 | 苯 | 甲苯 | 丙酮 | 氯仿 | 1,4-二氧六環 |
溶解性 | √ | √ | √ | × | × | √ | × |
溶劑 | DMF | THF | 二甲苯 | 正戊醇 | 環己烷 | 乙酸乙酯 | 丙烯酸丁酯 |
溶解性 | √ | × | × | × | × | × | × |
溶劑 | 甲醇 | 丙醇 | 環己酮 | 戊烷 | 甲酸 | 二氯甲烷 | 甲基環己烷 |
溶解性 | √ | √ | × | × | √ | √ | × |
溶劑 | 乙酸 | 丙酸 | 石油醚 | 松節油 | 氯苯 | 四氯化碳 | 乙基乙烯基醚 |
溶解性 | √ | √ | × | × | × | × | × |
注: “√”表示可溶;“×”表示溶解性不好。
2.化學性質
NVP分子式為C6H9NO,結構為:

NVP的分子是一個含有N原子的五元環,屬于內酰胺類化合物,在N原子上連有一個乙烯基,NVP這種特殊的分子結構賦予了它一些特殊的化學性質,其中最重要的就是易聚合性和易水解性。
NVP在適當的引發劑作用下,或者光照下即可發生聚合反應得到PVP,反應式如下:

即使在沒有引發劑的情況下,NVP放置的時間過長或者在運輸過程中由于震動也可能發生不同程度的自聚合而影響其質量,所以市售的商品NVP中一般都加有阻聚劑,使用時可以用減壓蒸餾或活性炭吸附的方法除去阻聚劑。
NVP的另一個重要的化學性質是在酸性或堿金屬離子存在的條件下很容易發生水解反應,生成吡咯烷酮和乙醛,其水解過程如圖1.1所示[2]。

圖1.1 NVP的水解
由于NVP易水解,所以在NVP的生產和使用中應注意兩點:一是合成NVP時必須注意把水去除完全,保證產品中不含水分;二是在貯存、運輸過程中,要使產品呈中性或弱堿性,從而防止水解與自聚合反應發生,通常的方法是加人0.1%的堿(如氫氧化鈉、氨或低分子量的胺類)。
1.1.2 NVP的合成
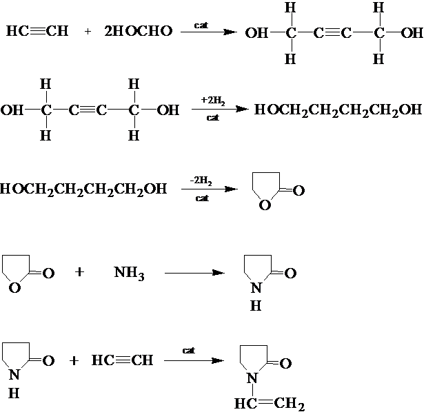
PVP的聚合單體NVP,是1938年德國BASF公司化學家W. Reppe首次合成得到的[1]。他是以乙炔為起始原料,經過一系列化學反應,最后得到NVP。該合成方法被稱為乙炔法,也叫Reppe法。
該方法是以乙炔、甲醛為起始原料,經過乙炔的醛加成、催化加氫、催化脫氫成環、氨解、炔加成等五步反應,最后得到NVP。其原理可用如圖1.2的反應式表示[1,3-6]:

圖1.2 NVP的乙炔法合成路線
乙炔法生產NVP工藝已相當成熟,是當今世界上工業生產NVP的主要方法之一。該工藝的主要優點是工藝成熟、原料便宜易得等,主要的不足之處是工藝流程長、固定資本投資大、操作條件要求嚴格,主要的原料乙炔存在爆炸危險性等。
近幾十年來科技工作者在完善乙炔法的同時。也研究開發了或正在努力開發其他的NVP合成及生產方法。經過幾十年發展,又出現了γ-丁內酯法、吡咯烷酮法、順丁烯二酸酐法、琥珀酸法等多種合成NVP的方法[7-13]。但這些方法都處在進一步的研究中,有待于取得進一步的突破。
1.1.3 NVP的聚合反應
NVP單體在工業上并沒有實際應用價值,只有將NVP聚合或共聚為具有一定結構、一定組成和一定分子量的高分子化合物之后,才能在工業上應用。
NVP可以均聚,也可以與其他單體共聚;得到的聚合物可以是線性的,也可以是交聯聚合物。
1.均聚
NVP單體極容易發生聚合反應。把NVP單體加熱到140℃以上,或者在NVP單體中加人引發劑很容易引發NVP的均聚,生成聚乙烯吡咯烷酮(PVP)。引發劑包括陽離子型引發劑,如BF3[14-15];陰離子型引發劑,如酰胺的鉀鹽;自由基引發劑,如過氧化物、偶氮類化合物等。與其他高分子的合成方法相似,NVP的聚合方式也有本體聚合、溶液聚合和懸浮聚合等幾種。
本體聚合由于聚合過程中反應體系的粘度逐漸增大,聚合物擴散困難,反應熱不容易移走,局部過熱等原因,得到的產品質量不好,不能滿足商業產品的要求,在工業生產上沒有實際應用價值。懸浮聚合也少見報道。目前工業上NVP的聚合一般都是采用溶液聚合的方法,用于其溶液聚合的溶劑有水、乙醇、異丙醇、苯、甲醇、乙酸乙酯等幾種,最常用的是水。
NVP在水和有機溶劑中的聚合機理是不同,在水溶液中的聚合機理如圖1.3(以過氧化氫為引發劑)[16,17]:

圖1.3 NVP在水中的聚合機理
NVP在水溶液進行聚合時,長鏈自由基通常是和引發劑自由基結合而終止的,而且在鏈終止階段,會同時發生吡咯烷酮環的裂解反應,因此經常發現醛基是PVP的一種端基。裂解反應也會有少量的吡咯烷酮生成,所以水溶液聚合得到的聚合物不是特別純。
由于水溶液聚合中,長鏈自由基是通過與引發劑自由基結合而終止的,所以引發劑的量對聚合物分子量的影響特別大[18]。
動力學鏈長是增長反應速度和終止反應速度的比值:
(式1.1)

而
(式1.2)
(式1.3)
(式1.4)
根據穩態假設,聚合體系中的自由基濃度保持不變,所以
(式1.5)
(式1.6)
將式1.6代入式1.1,得到:
(式1.7)
式1.7與通常的雙基終止方式的動力學鏈長
相比,引發劑濃度對分子量的影響要大多了。
而且NVP和水還有氫鍵作用,這對其反應活性也有影響。圖1.4是初始反應速度與NVP在水中濃度的關系[19]。

圖1.4 氫鍵對NVP聚合反應速度的影響
從圖中可以看出,在NVP濃度為75%(vol)時,對應的NVP和水的摩爾比為1:2,聚合反應速度最大,而且此時的體系粘度也是最高。這種氫鍵作用可以提高NVP的反應活性,從而提高了反應速度。而過量的水又稀釋了NVP-水的氫鍵結合物,導致NVP濃度低時,反應速度也下降。
NVP在醇類等有機溶劑中進行聚合反應時,反應機理比較復雜,如圖1.5所示。

圖1.5 NVP在有機溶劑中的聚合機理
在有機溶劑中進行聚合時,引發單體聚合的是引發劑自由基與溶劑反應生成的溶劑自由基,鏈的終止是通過向溶劑鏈轉移完成的,得到一個氫原子的端基和另一個溶劑自由基,繼續引發聚合反應。由于終止反應中沒有像在水溶液中聚合那樣,發生吡咯烷酮環的裂解,因此制備的聚合物較純;沒有醛基端基存在,在氧化條件下也比水溶液聚合更穩定。但由于鏈轉移反應,在有機溶劑中聚合一般只能得到較低分子量的聚合物,如果要合成高分子量的聚合物,就必須要在水溶液中,使用小劑量的引發劑。
2.共聚
NVP除了可以均聚外,還可以與其他含有乙烯基結構的單體發生共聚反應,生成各種不同性能的共聚物。
可以與NVP發生共聚反應的單體如表1.2所列。
表1.2 可以與NVP發生共聚反應的單體 | |
酯類 | 二甲基氨基乙基甲酸丙烯酯、乙酸丙烯酯、異丁烯酸酯、二乙酸丙烯酸酯、甲基丙烯酸甲酯、乙酸乙烯酯、二碳酸乙烯酯、丙酸乙烯酯、丙烯酸異丙烯酯、三烯丙基異腈尿酸酯、二甲胺乙烯異丁烯酸酯、二甲胺乙烯甲基丙烯酸甲酯、乙烯基丙烯酸酯、三丁基丙烯酸酯、丙烯酸異辛酯等 |
醚類 | 乙烯基苯基醚、乙烯基異丙基醚、乙烯基環己基醚、乙烯基丁基醚等 |
烴類 | 乙烯、苯乙烯、十六碳烯 |
酰胺類 | N-乙烯基苯亞酰胺、丙烯酰胺、乙烯基己內酰胺 |
鹵代烴類 | 氯乙烯、三氯乙烯 |
醇類 | 丙烯醇 |
雙官能團類(交聯聚合) | 亞甲基雙丙烯酰胺、二乙烯基苯 |
其他類 | 丙烯腈、馬來酸酐、乙烯基三甲基硅烷、乙烯基三甲氧基硅烷、乙烯基咪唑等 |
雖然自由基聚合可以得到很多NVP的共聚物,但是目前只有少數幾種有大量的工業生產,如NVP/醋酸乙烯酯、NVP/丙酸乙烯酯,主要應用在化妝品、印染助劑和食品添加劑。
表1.3 一些不飽和單體對NVP(M1)的共聚參數[20] | ||||
單體(M2) | r1 | r 2 | Q | e |
二碳酸乙烯酯 | 0.4 | 0.7 | — | — |
月桂酸乙烯酯 | 1.15~1.3 | 0.01 | — | — |
乙酸乙烯酯 | 2.0 | 0.24 | — | — |
甲基丙烯酸甲酯 | 0.005 | 4.7 | 0.074 | -1.33 |
二乙酸丙烯酯 | 0.92 | 0.94 | 0.096 | -1.27 |
乙酸丙烯酯 | 1.6 | 0.17 | — | — |
N-乙烯基苯亞酰胺 | 0.35 | 0.04 | 0.088 | 0.37 |
馬來酸酐 | 0.16 | 0.08 | — | — |
丙烯醇 | 1.0 | 0 | — | — |
丙烯腈 | 0.06 | 0.18 | — | — |
苯乙烯 | 0.045 | 15.7 | 0.087 | -1.22 |
三氯乙烯 | 0.54 | <0.01 | — | — |
氯乙烯 | 0.38 | 0.53 | 0.035 | -1.07 |
乙烯基苯基醚 | 4.43 | 0.22 | — | — |
乙烯基異丙基醚 | 1.68 | — | — | — |
乙烯基環己基醚 | 3.84 | — | — | — |
乙烯基丁基醚 | 3.30 | 0.205 | 0.067 | -1.12 |
3.交聯聚合
NVP的線性聚合物PVP是一種水溶性高分子,但是其交聯聚合物就不能溶于水和有機溶劑了。
有三種方法可以合成得到交聯的PVP:
a)用過硫酸鹽、肼或者過氧化氫處理PVP,或者在過氧化物存在下,用α,ω-二烯烴處理PVP,都可以得到低交聯度的PVPP,生成的產物為軟凝膠[21-23] 。
b)添加交聯劑的自由基聚合[24]。常用的交聯劑有:二乙烯基苯、N,N’-亞甲基雙丙烯酰胺、二甲基丙烯酸乙烯酯、α,ω-二烯烴等。采用這種方法合成PVPP時,可以通過控制交聯劑的用量來控制PVPP的交聯程度。但這種方法也只能得到中等交聯度的PVPP,如果要得到很高交聯度的PVPP,需要加入很多量的交聯劑,這樣在工業上并不合算。
c)爆米花聚合[25-28]。采用這種方法合成得到的是高度交聯的PVPP。
1.1.4 PVP的性質[29]
PVP是一種水溶性高分子化合物,具有水溶性高分子化合物的一般性質,如膠體保護作用、成膜性、粘接性、吸濕性、增溶或凝聚作用、與某些化合物的絡合能力等。但PVP最具特色的是它的優良的溶解性能和生理惰性。PVP既溶于水,又溶于大部分有機溶劑,無毒無害,生理相容性很好。
1.分子量的測定及其表征
商品PVP按分子量大小分成若干等級,一般用Fikentscher法的K值來表示。測定K值最常用的方法是用毛細管粘度計測得PVP水溶液的相對粘度η,則有

式中: K0 Fikentscher常數 K=1000 K0;
C 100ml溶解PVP的克數;
η 相對粘度

圖1.6 PVP的K值和分子量的對應關系
2.物理性質
PVP在水中的熔解熱為-4.8kJ/mol,折射率 。PVP的固體密度為1.25×103kg/m3,但由于結構疏松,其堆密度隨分子量和干燥方法的不同,在0.1~0.6g/ml范圍內。
PVP的玻璃化溫度也隨分子量的增加而升高,其極限值約為180℃,如圖1.7所示:

圖1.7 PVP的玻璃化溫度
PVP的X-射線散射角2θ分別為10°~26°和10°~40°,這表明PVP是無定型非晶態結構。
3.溶解性和溶液特性
由于PVP分子中既有親水基團,又有親油基團,所以可以與許多溶劑相互作用,使其既能溶于水,又能溶解于許多醇、羧酸、胺、鹵代烴等有機溶劑中。PVP在水中的溶解度僅受它自身粘度的限制。
在室溫下能溶解超過10%以上PVP的有機溶劑舉例如表1.4,在室溫下溶解PVP不超過1%的有機溶劑舉例如表1.5。
從表1.4和表1.5可以看出,PVP一般易溶于有較強極性的溶劑,而不易溶于較弱極性的溶劑,但當有助溶劑存在時,則可溶于烴類等非極性溶劑。
表1.4 容易溶解PVP的有機溶劑 | |
醇類 | 甲醇、乙醇、丙醇、異丙醇、丁醇、異丁醇、戊醇、環己醇、甲基環己醇、苯酚、乙二醇、丙二醇、丁二醇、甘油、二丙酮醇 |
酸類 | 甲酸、乙酸、丙酸 |
內酯類 | γ-丁內酯 |
醚-醇類 | 乙二醇醚、二甘醇、三甘醇、1,6-己二醇、聚乙二醇400、2,2’硫代二乙醇 |
酯類 | 乳酸乙酯 |
酮類 | 甲基環己酮、環己酮(熱) |
內酰胺類 | 2-吡咯烷酮、N-甲基吡咯烷酮、N-乙烯基吡咯烷酮 |
胺類 | 丁胺、環己胺、苯胺、乙二胺、吡啶、嗎啉、乙醇胺、二乙醇胺、三乙醇胺、氨乙基乙醇胺、2-羥基乙基嗎啉、2-氨基-2-甲基丙醇 |
硝基烴類 | 硝基甲烷、硝基乙烷 |
表1.5 不易溶解PVP的有機溶劑 | |
烴類 | 苯、甲苯、二甲苯、石油醚、四氫萘、戊烷、己烷、庚烷、干洗溶劑油、煤油、溶劑油、礦物油、環己烷、甲基環己烷、松節油 |
醚類 | 二氧六烷、二乙醚、二甲醚、乙基乙烯基醚、異丁基乙烯基醚、四氫呋喃 |
含氯類 | 四氯化碳、氯苯 |
酮類 | 丙酮、2-丁酮、環己酮 |
酯類 | 醋酸乙酯、醋酸異丁酯 |
在較大的范圍里,PVP水溶液的粘度與pH值無關,僅僅在極限的情況下會有較大變化:濃鹽酸會增加溶液的粘度,濃堿會使PVP發生沉淀。
PVP在其他有機溶劑中的粘度變化較大,如表1.6所示。對于有些有機溶劑,溶液粘度增大的原因是由于PVP在與其混合后,引起凝膠化作用所致。
表1.6 在不同溶劑中10%PVP K30溶液粘度,25℃ | |||||||
溶劑 | 二氯甲烷 | N-甲基吡咯烷酮 | 水 | 乙醚 | 丙二醇 | 乙二醇 | 異丙醇 |
粘度,mm2/s | 3 | 8 | 5 | 12 | 261 | 95 | 12 |
溶劑 | 二乙二醇 | 三乙醇銨 | 乙醇 | 醋酸 | 環己醇 | 丙三醇 | 丁二醇 |
粘度,mm2/s | 165 | 666 | 5 | 12 | 376 | 2046 | 425 |
將PVP溶解在NaCl水溶液里(0.2mol或2mol),其行為特征如粘度等與PVP水溶液僅有細微差別,這是PVP區別與其他大多數聚合物的優異特性。
PVP在混合溶劑中溶解性也有比較特別的地方。如PVP/丙酮/水的三元體系,其相圖如圖1.9所示。從相圖可知,由于丙酮對PVP幾乎不溶,所以當在PVP的水溶液中加入大量的丙酮,則部分PVP會隨丙酮沉淀,形成兩相。三相共溶點的位置隨K值的減小而趨向丙酮比例增大的方向。

圖1.9 PVP/丙酮/水的三元體系相圖(25℃)
4.表面活性
從結構看,PVP長分子鏈中既有親水和親合極性基團的內酰胺基,又有親油性的非極性的碳鏈,PVP的這種分子結構使其帶有表面活性。其降低表面或界面張力的能力雖然比低分子表面活性劑小,滲透能力也較弱,但其對固體表面的吸附作用及親水性所形成的立體屏蔽能力,使固體粒子具有優良的分散穩定性。此外他與許多有機無機化合物的氫鍵絡合能力又使其具有凝聚作用或增溶能力,前者使其在含多酚類物質的酒類和飲料中起澄清和穩定作用,而后者則廣泛應用于共沉淀制備藥物固體分散體以提高難溶藥物的生物利用度。以上這些表面活性物質的綜合特性使PVP成為高分子表面活性劑的主要品種之一。
5.吸濕性
PVP有較強的吸濕性,它在不同相對濕度下的飽和濕含量如圖1.10。

圖1.10 PVP的飽和濕含量
熱化學研究表明,每個NVP單元大約締合0.5分子的水,這與蛋白質的吸水性相似。
6.絡合性
PVP是一種具有高“溶解”能力的聚合物,這種“溶解”能力是因為其分子結構中有高極性特性和能接受氫鍵的酰胺基團,同時又有非極性基團。這種能力使得PVP能夠與許多物質,特別是含羥基、羧基、氨基及其他活性氫原子的化合物生成絡合物。
7.化學穩定性
通常情況下,固體PVP很穩定,在100℃空氣中加熱16小時無變化。PVP的水溶液在通常情況下也很穩定。不含其他成分時,0~100℃范圍內PVP水溶液無任何沉淀跡象,但如果受熱時間過長,或存放時間過長,或PH值在酸性范圍內,都會使PVP溶液變成輕微的淡黃色。在PVP水溶液中加入各種含多價陰離子的鹽類,如偏硅酸鈉、三聚磷酸鈉,PVP則會沉淀。但高分子量的PVP,無論是水溶液,還是干粉狀態,存放時間過長都會有降解現象。
8.生物特性
PVP無毒,具有優良的生理惰性,不參與人體新陳代謝,它又具有優良的生物相容性,對皮膚、粘膜、眼等不形成任何刺激。
1.1.5 PVP的用途[30]
1.醫藥
PVP在出現后不久就作為血漿擴容劑,在二戰中搶救了眾多傷員。
如今,PVP和纖維素類衍生物、丙烯酸類化合物一起成為三大主要合成藥物輔料,在全世界范圍內得到廣泛的應用。它可以作為片劑、顆粒劑的粘結劑、注射劑的助溶劑、穩定劑、液體制劑的分散劑、包衣成膜劑及色素分散劑、難溶藥物的共沉淀劑及眼藥的延效劑、潤滑劑等。交聯不溶型PVP還可以作為片劑的藥物崩解劑。
PVP還有很多作為非輔料的應用,其中最常見的就是作為殺菌消毒劑使用的PVP-I。
2.化妝品
PVP在化妝品中有許多功能,主要是對乳液、懸浮液等分散體系的穩定及增粘作用,護發定型類產品中的成膜作用,凝膠類產品中的凝膠化作用,護膚類產品中的潤滑、保濕,泡沫類產品的泡沫穩定作用,以及在各類化妝品配方中作為色素穩定劑,除臭、保香劑,溫和劑等。
3.釀酒和飲料工業
PVP及不溶性PVP在釀酒、飲料工業中可以作為啤酒、果酒、果汁的澄清劑和穩定劑。PVP可以和這些酒類、飲料中的多酚類物質絡合,從而除去這些會使酒類、飲料變渾濁的物質。
4.涂料、顏料工業
在涂料、顏料、油墨、高分子合成及加工等工業過程或工業產品中,PVP以其優良的溶解性、成膜性、生理惰性、表面活性和絡合能力等綜合特點,而得到廣泛的應用。
5.粘結劑
PVP對玻璃、金屬和塑料表面具有特別的粘結力;加上其親水性、分散穩定性、無觸變性、增稠性等特點,使它廣泛用于各種粘結劑配方中,如固體膠水棒、壓敏膠及再濕性膠等。
6.其他
除了以上敘述的PVP的一些用途外,PVP還在采油、造紙等其他方面應用。由于其優異性能,近年來不斷發現PVP有許多新的應用;采用新的聚合技術和共聚方法,聚合物的性質能進一步改進,從而打開了一些全新的應用領域。